Free Access

Fig. 6

thumbnail

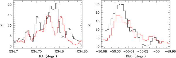
Distribution of RGB stars of the cluster (region III of Fig. 5, left panel) brighter than the level of HB (shown in red), and of RC stars (shown in black) in strips of 3′ centering the cluster along right ascension and declination.

This figure is made of several images, please see below:

Current usage metrics show cumulative count of Article Views (full-text article views including HTML views, PDF and ePub downloads, according to the available data) and Abstracts Views on Vision4Press platform.

Data correspond to usage on the plateform after 2015. The current usage metrics is available 48-96 hours after online publication and is updated daily on week days.

Initial download of the metrics may take a while.