Free Access

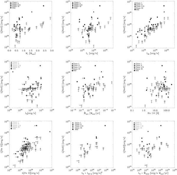
Fig. 4

thumbnail

[Ne II] luminosity versus the different parameters for which correlations have been tested. The different symbols indicate Class I, II, III or Herbig stars as indicated in the legend. Filled symbols indicate [Ne II] detections while empty symbols with arrows indicate upper limits.

Current usage metrics show cumulative count of Article Views (full-text article views including HTML views, PDF and ePub downloads, according to the available data) and Abstracts Views on Vision4Press platform.

Data correspond to usage on the plateform after 2015. The current usage metrics is available 48-96 hours after online publication and is updated daily on week days.

Initial download of the metrics may take a while.