Free Access

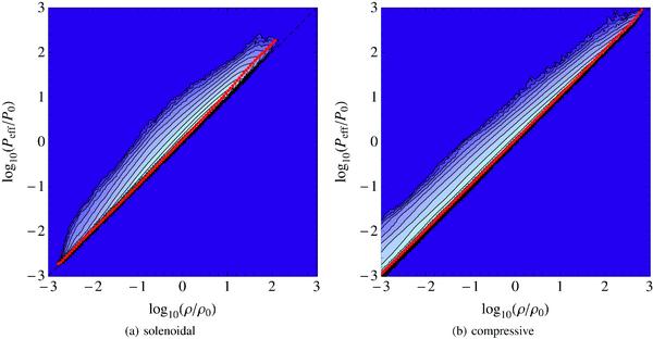
Fig. 9

thumbnail

Phase diagrams of the effective pressure defined by Eq. (6) vs. the mass density for 5123 LES with solenoidal and compressive forcing. The contours are logarithmic. The averages of the SGS turbulence energy for particular values of the denstrophy are indicated by the dotted lines.

Current usage metrics show cumulative count of Article Views (full-text article views including HTML views, PDF and ePub downloads, according to the available data) and Abstracts Views on Vision4Press platform.

Data correspond to usage on the plateform after 2015. The current usage metrics is available 48-96 hours after online publication and is updated daily on week days.

Initial download of the metrics may take a while.