Free Access

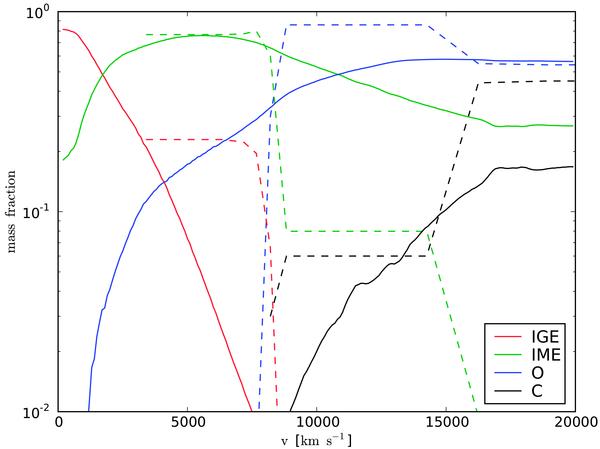
Fig. 7

thumbnail

Angle-averaged composition in velocity space (straight lines) as the result of the thermonuclear explosion following a violent merger of two white dwarfs of 0.9   M. It is compared to the results of an abundance tomography study of SN 2005bl by Hachinger et al. (2009) (dashed lines).

Current usage metrics show cumulative count of Article Views (full-text article views including HTML views, PDF and ePub downloads, according to the available data) and Abstracts Views on Vision4Press platform.

Data correspond to usage on the plateform after 2015. The current usage metrics is available 48-96 hours after online publication and is updated daily on week days.

Initial download of the metrics may take a while.