Free Access

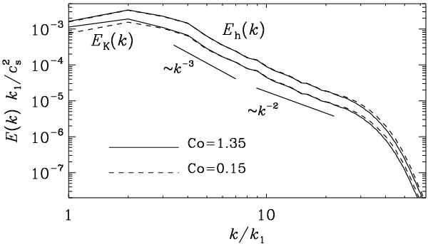
Fig. 1

thumbnail

Time-averaged kinetic energy and enthalpy spectra for two values of the Coriolis number for Re = 25 and Stforce = 0.4. The two straight lines give the slopes  − 2 and  − 3, respectively. In both cases we have kf/k1 = 4.

Current usage metrics show cumulative count of Article Views (full-text article views including HTML views, PDF and ePub downloads, according to the available data) and Abstracts Views on Vision4Press platform.

Data correspond to usage on the plateform after 2015. The current usage metrics is available 48-96 hours after online publication and is updated daily on week days.

Initial download of the metrics may take a while.