Free Access

Fig. 6

thumbnail

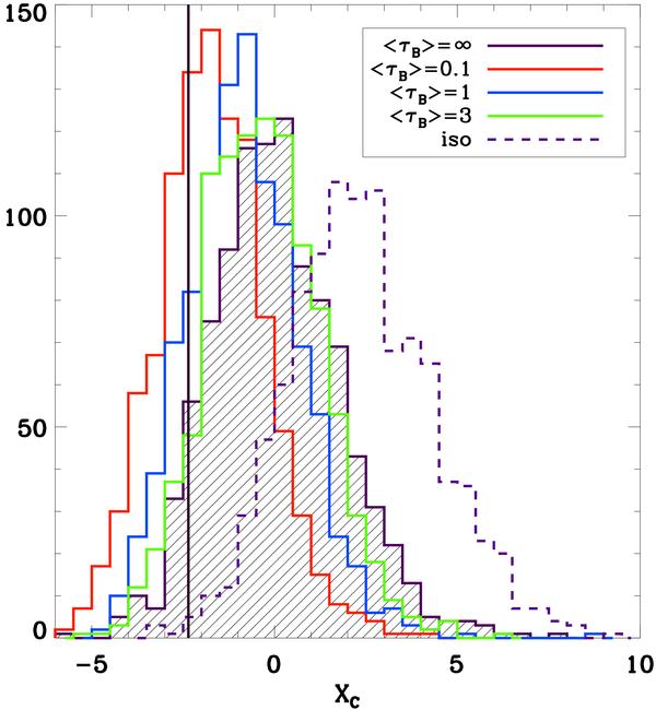
Distribution of XC from 1000 Monte Carlo realizations of 18 simulated events of energy above 60 EeV. The mean source density is ns = 10-5   Mpc-3. The dotted curves represent the isotropic model, the hatched curves denote the LSS model, and from left to right we have  ⟨ τ ⟩ 100 = 0.1,  ⟨ τ ⟩ 100 = 1, and  ⟨ τ ⟩ 100 = 3. The vertical line corresponds to the value obtained for the Pierre Auger data.

Current usage metrics show cumulative count of Article Views (full-text article views including HTML views, PDF and ePub downloads, according to the available data) and Abstracts Views on Vision4Press platform.

Data correspond to usage on the plateform after 2015. The current usage metrics is available 48-96 hours after online publication and is updated daily on week days.

Initial download of the metrics may take a while.