Free Access

Fig. 9

thumbnail

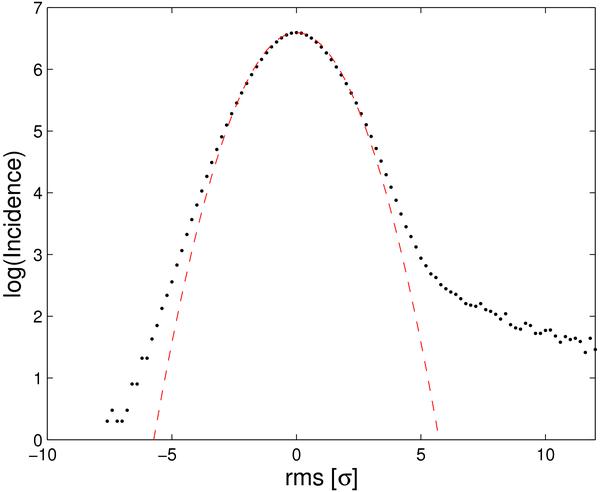
Histogram of incidence of brightness in units of σ in Cube 13 of the WVFS. At a level of  − 5σ there are still many pixels, indicating that the number of false positives at the  + 5σ level is also likely to be relatively high. At a level of  − 8σ there are no negative pixels, so above a clipping level of  + 8σ no false detections are expected.

Current usage metrics show cumulative count of Article Views (full-text article views including HTML views, PDF and ePub downloads, according to the available data) and Abstracts Views on Vision4Press platform.

Data correspond to usage on the plateform after 2015. The current usage metrics is available 48-96 hours after online publication and is updated daily on week days.

Initial download of the metrics may take a while.