Highlight
Free Access

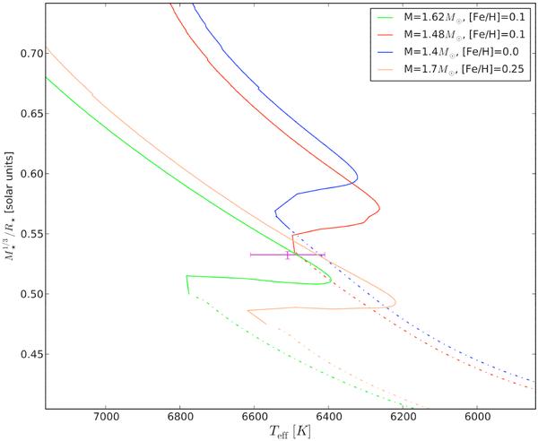
Fig. 5

thumbnail

STAREVOL evolutionary tracks models in the (Teff, ) space for main-sequence stars (solid lines) and post-main sequence stars (dashed-dot lines). The purple point represents the observed position of the star KOI-428 with the associated error bars in this space. The two best models are the green solid line with M   = 1.62   M and the adopted one in dashed-dot red line with M   = 1.48   M (see text).

Current usage metrics show cumulative count of Article Views (full-text article views including HTML views, PDF and ePub downloads, according to the available data) and Abstracts Views on Vision4Press platform.

Data correspond to usage on the plateform after 2015. The current usage metrics is available 48-96 hours after online publication and is updated daily on week days.

Initial download of the metrics may take a while.