Free Access

Fig. 20

thumbnail

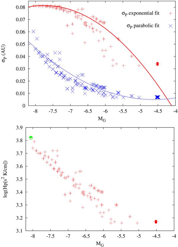
Upper panel: the relation between σPθ and MG for supergiants and bright giants, assuming either an exponential (red plusses) or a parabola (blue crosses) to connect the box-in-a-star with the star-in-a-box models (Fig. 18). The equation of the dashed green line (through the red plusses) is , whereas the equation of the magenta dotted line (through the blue crosses) is . Lower panel: same as the upper panel, for the relation between the pressure scale height Hp and the absolute magnitude in the Gaia G band. Only stars with a detectable photocentric motion (for the exponential fit: red crosses; for the parabolic fit: green dot) have been plotted.

This figure is made of several images, please see below:

Current usage metrics show cumulative count of Article Views (full-text article views including HTML views, PDF and ePub downloads, according to the available data) and Abstracts Views on Vision4Press platform.

Data correspond to usage on the plateform after 2015. The current usage metrics is available 48-96 hours after online publication and is updated daily on week days.

Initial download of the metrics may take a while.