Free Access

Fig. 1

thumbnail

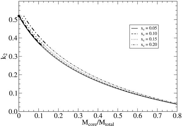
Love number k2 in dependence on the ratio of core mass to total mass for theoretical two-layer models consisting of a constant density core and an n = 1 polytropic envelope, see Eqs. (7) and (8). The lines show solutions for core radii of xc = 0.05 (solid), 0.10 (dashed), 0.15 (dotted) and 0.20 (dash-dotted). The black diamond shows the solution for the core-less polytropic planet. To obtain different values for Mcore/Mtotal the parameter q has been varied. q = π gives the minimum value of Mcore/Mtotal. Thick lines show the region where 0.9π < q < π which corresponds to realistic ρ1(xc)/A ratios.

Current usage metrics show cumulative count of Article Views (full-text article views including HTML views, PDF and ePub downloads, according to the available data) and Abstracts Views on Vision4Press platform.

Data correspond to usage on the plateform after 2015. The current usage metrics is available 48-96 hours after online publication and is updated daily on week days.

Initial download of the metrics may take a while.