Highlight
Free Access

This article has an erratum: [https://doi.org/10.1051/0004-6361/201015811e]


Fig. 1

thumbnail

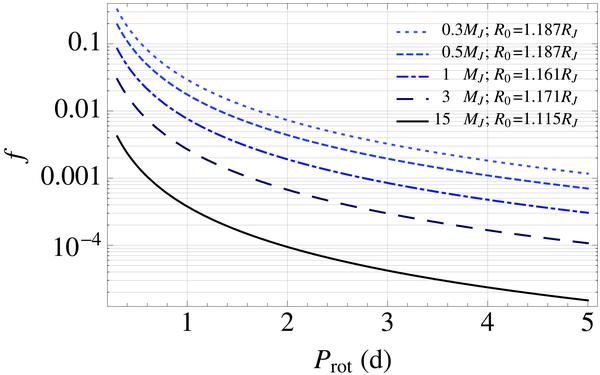
Oblateness given by Eq. (36) as a function of the rotation period (in days) at 1 Gyr for planets of mass: 0.3 MJ (dotted), 0.5 MJ (dashed), 1 MJ (dash-dotted), 3 MJ (long dashed), 15 MJ(solid). The oblateness decreases when the mass of the planet increases because massive objects are more compressible (see Sect. 4), have a more intense self-gravity field and are thus less subject to perturbations.

Current usage metrics show cumulative count of Article Views (full-text article views including HTML views, PDF and ePub downloads, according to the available data) and Abstracts Views on Vision4Press platform.

Data correspond to usage on the plateform after 2015. The current usage metrics is available 48-96 hours after online publication and is updated daily on week days.

Initial download of the metrics may take a while.