Highlight
Free Access

This article has an erratum: [https://doi.org/10.1051/0004-6361/201015811e]


Fig. 3

thumbnail

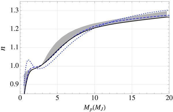
Polytropic index for non-irradiated planets as a function of the planet’s mass Mp at 100 Myr (dotted), 1 Gyr (dashed) and 5 Gyr (solid). The shaded area represents the uncertainty on the polytropic index for the 5  Gyr case (see text).

Current usage metrics show cumulative count of Article Views (full-text article views including HTML views, PDF and ePub downloads, according to the available data) and Abstracts Views on Vision4Press platform.

Data correspond to usage on the plateform after 2015. The current usage metrics is available 48-96 hours after online publication and is updated daily on week days.

Initial download of the metrics may take a while.