Highlight
Free Access

This article has an erratum: [https://doi.org/10.1051/0004-6361/201015811e]


Fig. 4

thumbnail

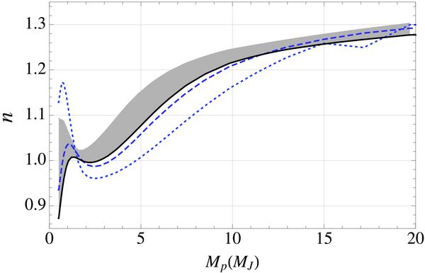
Polytropic index for strongly-irradiated planets as a function of Mp at 100 Myr (dotted), 1 Gyr (dashed) and 5 Gyr (solid). As the irradiated atmosphere impedes the radiative cooling of the objects, it retards its contraction. Therefore, the non-monotonous behavior observed at the early ages in the non-irradiated case (Fig. 3) is enhanced, even at a later epoch. The bump at the high mass end of the 100 Myr curve is caused by deuterium burning (see text). The shaded area represents the uncertainty on the polytropic index for the 5  Gyr case (see text).

Current usage metrics show cumulative count of Article Views (full-text article views including HTML views, PDF and ePub downloads, according to the available data) and Abstracts Views on Vision4Press platform.

Data correspond to usage on the plateform after 2015. The current usage metrics is available 48-96 hours after online publication and is updated daily on week days.

Initial download of the metrics may take a while.