Free Access

Fig. A.4

thumbnail

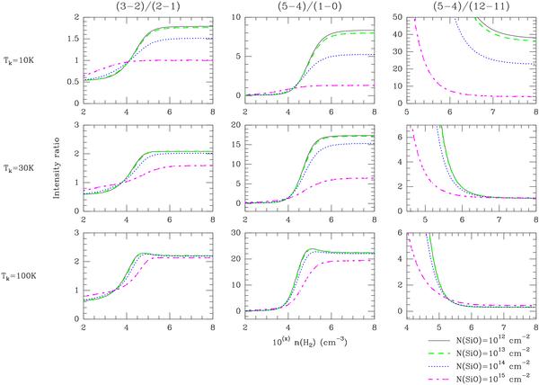
Intensity ratio between two transitions for SiS as a function of H2 density with the SiS column density equal to 1012, 1013, 1014, and 1015 cm-2.

Current usage metrics show cumulative count of Article Views (full-text article views including HTML views, PDF and ePub downloads, according to the available data) and Abstracts Views on Vision4Press platform.

Data correspond to usage on the plateform after 2015. The current usage metrics is available 48-96 hours after online publication and is updated daily on week days.

Initial download of the metrics may take a while.