Free Access

Fig. B.1

thumbnail

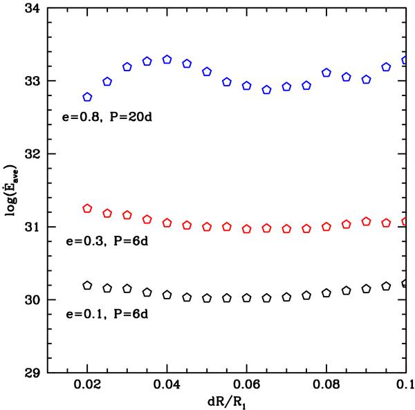
Dependence of Ėave on the choice of layer depth for models computed with e = 0.1, 0.3 and e = 0.8, and corresponding orbital periods as listed in the label. The average density for each layer depth used for the Ėave calculation were obtained from the stellar structure model of a 5 Mo, 3.15 Ro star (Brott 2010, private communication). This shows that for a fixed set of binary parameters, the energy dissipation rates depend on the choice of layer depth only within a factor of  ~2.

Current usage metrics show cumulative count of Article Views (full-text article views including HTML views, PDF and ePub downloads, according to the available data) and Abstracts Views on Vision4Press platform.

Data correspond to usage on the plateform after 2015. The current usage metrics is available 48-96 hours after online publication and is updated daily on week days.

Initial download of the metrics may take a while.