Free Access

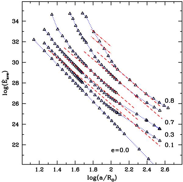
Fig. 4

thumbnail

Energy dissipation rates (in erg s-1) from our model calculations for β0 = 1.2 and different eccentricities as indicated. The dashed lines show the absolute value of Ėorb given by Eq. (A31) of Hut (1981), as written in our Eq. (30). The dotted lines connect the points corresponding to each eccentricity. The short dot-dashed lines show the values of ĖHut for e = 0.8 and lag angles α = 10° and 50°.

Current usage metrics show cumulative count of Article Views (full-text article views including HTML views, PDF and ePub downloads, according to the available data) and Abstracts Views on Vision4Press platform.

Data correspond to usage on the plateform after 2015. The current usage metrics is available 48-96 hours after online publication and is updated daily on week days.

Initial download of the metrics may take a while.