Free Access

Fig. 6

thumbnail

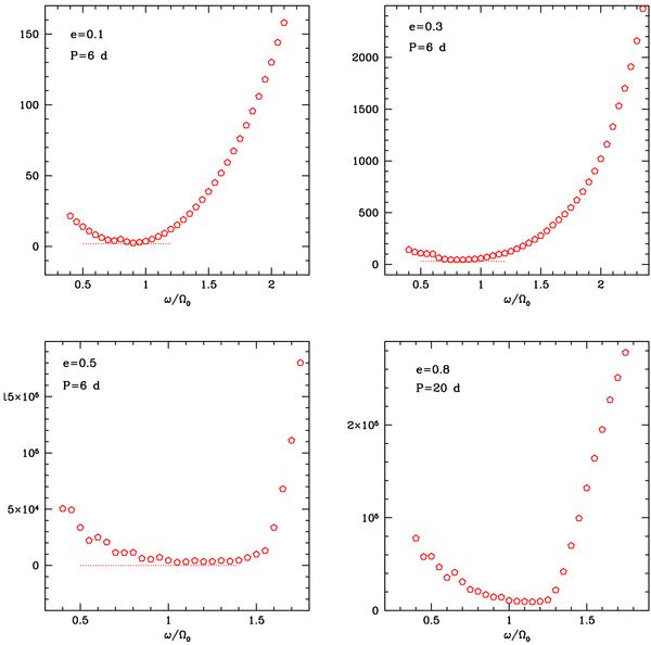
Energy dissipation rates Ėave/1035 ⟨ ρ ⟩  as a function of β0 = ω0 for four different eccentricities, e = 0.1 (top left), 0.3 (top right), 0.5 (bottom left) and 0.8 (bottom right). The first three cases are for an orbital period P = 6 d and the last is for 20 d. The ordinate is in units of 1035 ⟨ ρ ⟩  erg s-1, where  ⟨ ρ ⟩  is the average density. The dotted line indicates the level of minimum Ėave which, for e = 0.1 and 0.3 coincides with the analytical results of Hut (1981).

This figure is made of several images, please see below:

Current usage metrics show cumulative count of Article Views (full-text article views including HTML views, PDF and ePub downloads, according to the available data) and Abstracts Views on Vision4Press platform.

Data correspond to usage on the plateform after 2015. The current usage metrics is available 48-96 hours after online publication and is updated daily on week days.

Initial download of the metrics may take a while.