Free Access

Fig. 4

thumbnail

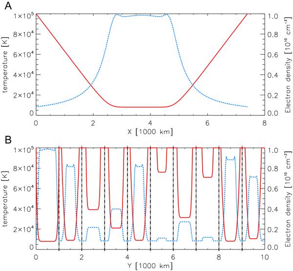
Temperature (solid red lines) and electron density (dashed blue lines) variation for Model2 along cut A (along the magnetic field) and cut B (across the field) indicated in Fig. 3. For multi-thread configuration (cut B), we do not show any gap between threads. The thread boundaries are indicated by dot-dashed lines.

Current usage metrics show cumulative count of Article Views (full-text article views including HTML views, PDF and ePub downloads, according to the available data) and Abstracts Views on Vision4Press platform.

Data correspond to usage on the plateform after 2015. The current usage metrics is available 48-96 hours after online publication and is updated daily on week days.

Initial download of the metrics may take a while.