Free Access

Fig. 3

thumbnail

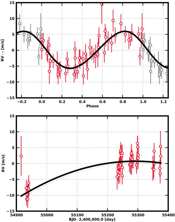
Decomposition of our nominal orbital model for GJ3634. The top panel shows RVs with the contribution of the long-term drift subtracted and phased with the planet’s orbital period. The bottom panel shows RVs as a function of time, with the Keplerian contribution removed. Gray points duplicate some of the red points. The model is also decomposed and plotted with a solid curve in each panel.

This figure is made of several images, please see below:

Current usage metrics show cumulative count of Article Views (full-text article views including HTML views, PDF and ePub downloads, according to the available data) and Abstracts Views on Vision4Press platform.

Data correspond to usage on the plateform after 2015. The current usage metrics is available 48-96 hours after online publication and is updated daily on week days.

Initial download of the metrics may take a while.