Free Access

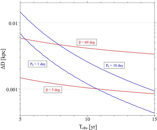
Fig. 4

thumbnail

Precision for distance measurements inferred from the timing of a pulsar at 1 kpc distance as a function of observing time span. The red curve is for the “classical” timing parallax at two different ecliptic latitudes, β. The distance uncertainties achieved with the kinematic parallax are shown in blue for two different orbital periods. We again assume weekly observations with a TOA precision of 10 ns.

Current usage metrics show cumulative count of Article Views (full-text article views including HTML views, PDF and ePub downloads, according to the available data) and Abstracts Views on Vision4Press platform.

Data correspond to usage on the plateform after 2015. The current usage metrics is available 48-96 hours after online publication and is updated daily on week days.

Initial download of the metrics may take a while.