Free Access

Fig. 3

thumbnail

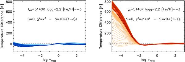
Temporal evolution of the mean temperature stratification from the two metal-poor red giant ( [Fe/H]  =  −3) surface convection simulations considered in Fig. 2. The curves show the differences of the mean temperature with respect to the standard case (self-consistent solution of the radiative transfer equation for a source function with a coherent scattering term) as a function of time. The instantaneous mean temperature stratifications are computed on surfaces of constant Rosseland optical depth. The total temporal coverage is 28 h, with snapshots taken every 10 min. Darker curves indicate later snapshots in the two sequences. Left panel: temporal evolution of the temperature differences for the simulation computed assuming a Planckian source function and neglecting the contribution of scattering to total extinction in optically thin layers. Right panel: corresponding evolution for the simulation computed under the assumption of Planckian source function with scattering treated as true absorption everywhere.

This figure is made of several images, please see below:

Current usage metrics show cumulative count of Article Views (full-text article views including HTML views, PDF and ePub downloads, according to the available data) and Abstracts Views on Vision4Press platform.

Data correspond to usage on the plateform after 2015. The current usage metrics is available 48-96 hours after online publication and is updated daily on week days.

Initial download of the metrics may take a while.