Free Access

Fig. 8

thumbnail

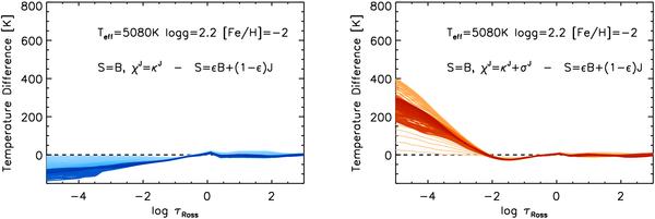
Temporal evolution of the mean temperature stratification in the two metal-poor red giant simulations at  [Fe/H]  =  −2 from Fig. 7. The curves show the differences of the mean temperature with respect to the standard case (self-consistent solution of the radiative transfer equation for a source function with a coherent scattering term) as a function of time. The total temporal coverage is 28 h, with snapshots taken every 10 min. Left panel: temporal evolution for the simulation assuming a Planckian source function and no contribution of scattering to the total extinction in optically thin layers. Right panel: corresponding evolution under the assumption of Planckian source function with scattering treated as true absorption. See Fig. 3 for more details.

This figure is made of several images, please see below:

Current usage metrics show cumulative count of Article Views (full-text article views including HTML views, PDF and ePub downloads, according to the available data) and Abstracts Views on Vision4Press platform.

Data correspond to usage on the plateform after 2015. The current usage metrics is available 48-96 hours after online publication and is updated daily on week days.

Initial download of the metrics may take a while.