Highlight
Free Access

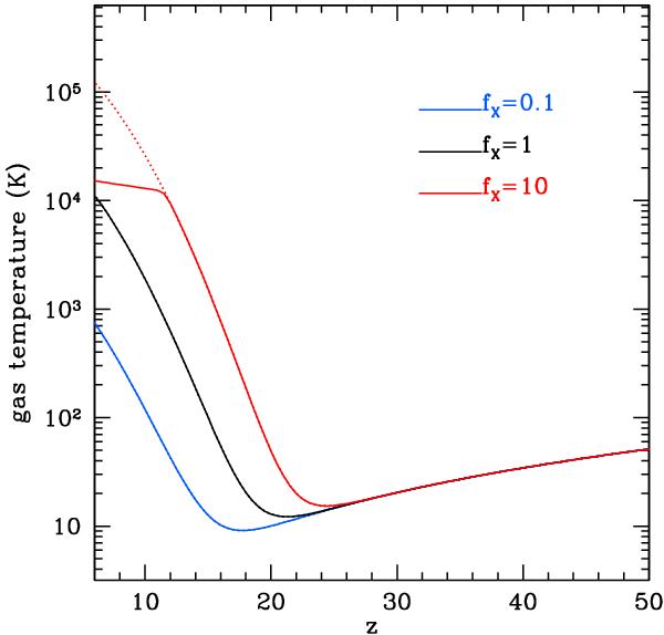
Fig. 1

thumbnail

Thermal history of the low-density neutral inter galactic medium (IGM) due to heating by accreting stellar black holes in high mass X-ray binaries (BH-HMXBs). This figure shows the gas temperature of the IGM as a function of redshift z for three possible values of fX as defined in Eq. (6): fX = 0.1 (blue dashed line), fX = 1.0 (black dotted line), fX = 10.0 (red solid line)). As discussed in the text, most likely fX > 1.

Current usage metrics show cumulative count of Article Views (full-text article views including HTML views, PDF and ePub downloads, according to the available data) and Abstracts Views on Vision4Press platform.

Data correspond to usage on the plateform after 2015. The current usage metrics is available 48-96 hours after online publication and is updated daily on week days.

Initial download of the metrics may take a while.