Highlight
Free Access

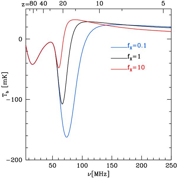
Fig. 2

thumbnail

Brightness temperature of the hyperfine transition of the ground state of atomic hydrogen (the wavelength of this transition is 21 cm), averaged over the entire sky, as a function of redshift z for the same three different values of fX as in Fig. 1.

Current usage metrics show cumulative count of Article Views (full-text article views including HTML views, PDF and ePub downloads, according to the available data) and Abstracts Views on Vision4Press platform.

Data correspond to usage on the plateform after 2015. The current usage metrics is available 48-96 hours after online publication and is updated daily on week days.

Initial download of the metrics may take a while.