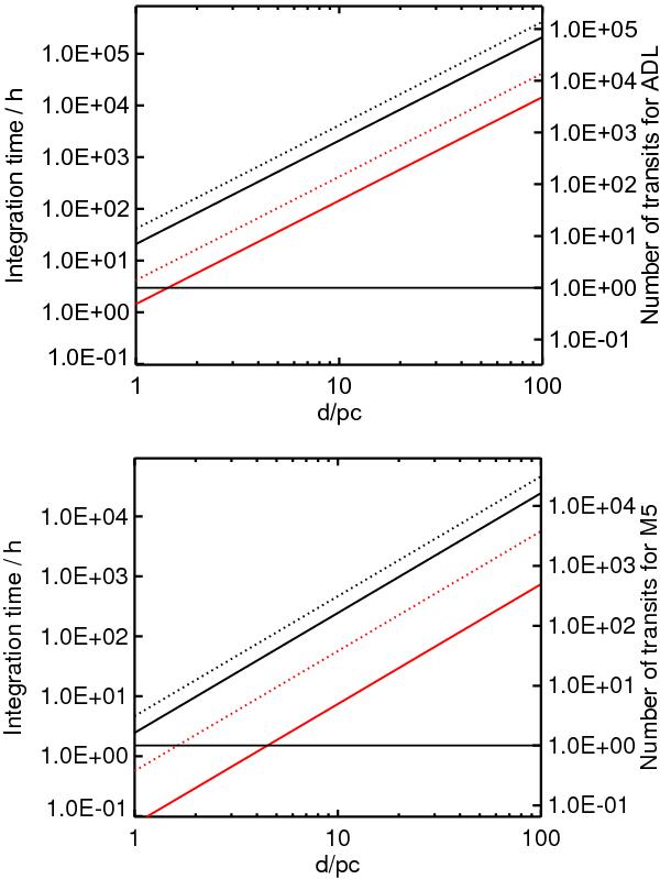
Fig. 8

Emission spectra: integration time in hours needed for SNR = 3 as a function of stellar distance of the 9.6 μm (dotted) ozone and the 15 μm (solid) carbon dioxide spectral feature at R = 20 for an Earth (black) and a 3g super-Earth (red) around AD Leo (top) and an M5 dwarf central star (bottom). Telescope configuration: JWST.
Current usage metrics show cumulative count of Article Views (full-text article views including HTML views, PDF and ePub downloads, according to the available data) and Abstracts Views on Vision4Press platform.
Data correspond to usage on the plateform after 2015. The current usage metrics is available 48-96 hours after online publication and is updated daily on week days.
Initial download of the metrics may take a while.