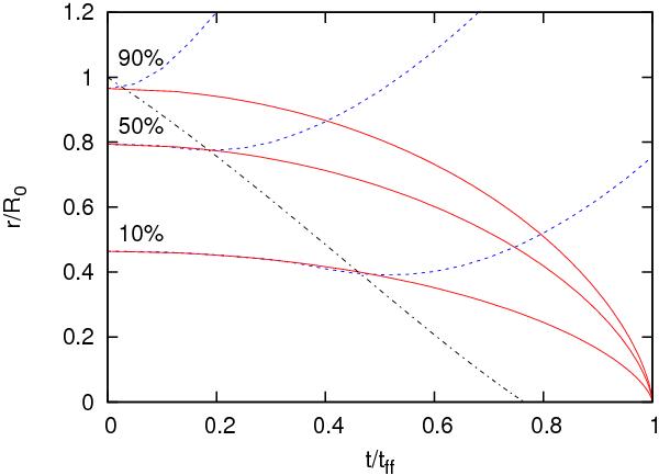
Fig. 10

Collapse of a uniform density sphere with an isothermal equation of state and dimensionless isothermal sound speed cs = 1. The figure shows the analytic solution for pressure-less freefall collapse (solid red lines) and the radial position of the 90%, 50% and 10% mass radii (blue dashed lines). The black dot-dashed line shows the analytic solution for the progression of the rarefaction wavefront.
Current usage metrics show cumulative count of Article Views (full-text article views including HTML views, PDF and ePub downloads, according to the available data) and Abstracts Views on Vision4Press platform.
Data correspond to usage on the plateform after 2015. The current usage metrics is available 48-96 hours after online publication and is updated daily on week days.
Initial download of the metrics may take a while.