Free Access
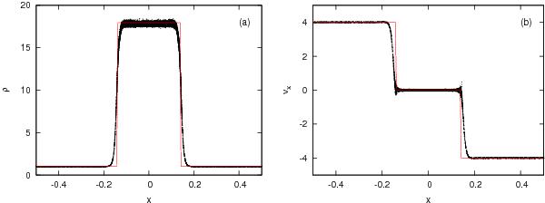
Fig. 3

Results of the colliding flows test using the standard SPH equations and time-dependent (α, β) viscosity (Morris & Monaghan 1997) showing a) the density and b) the x-velocity, after a time t = 0.6. The black dots represent the results from the SPH simulation and the red lines show the analytic solution.
Current usage metrics show cumulative count of Article Views (full-text article views including HTML views, PDF and ePub downloads, according to the available data) and Abstracts Views on Vision4Press platform.
Data correspond to usage on the plateform after 2015. The current usage metrics is available 48-96 hours after online publication and is updated daily on week days.
Initial download of the metrics may take a while.