Free Access
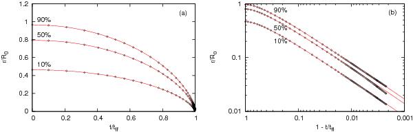
Fig. 9

a) Freefall collapse of a pressure-less, uniform-density sphere. The figure shows the analytic solution (dashed lines), and the radial position of three representative particles at 90%, 50% and 10% mass radii (filled circles). b) Same as a), but with time measured from the end of the collapse and using logarithmic axis.
Current usage metrics show cumulative count of Article Views (full-text article views including HTML views, PDF and ePub downloads, according to the available data) and Abstracts Views on Vision4Press platform.
Data correspond to usage on the plateform after 2015. The current usage metrics is available 48-96 hours after online publication and is updated daily on week days.
Initial download of the metrics may take a while.