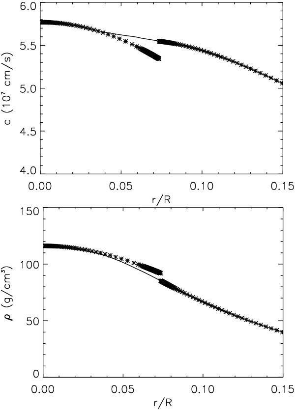
Fig. 1

Sound speed (upper panel) and density (lower panel) profiles for a model with M = 1.3 M⊙ and an age of 2.25 Gyr. The symbols show the profiles in the original model, computed with the evolution code ASTEC, while the continuous lines show the profiles in the smooth model, obtained through the iterative procedure described in the text.
Current usage metrics show cumulative count of Article Views (full-text article views including HTML views, PDF and ePub downloads, according to the available data) and Abstracts Views on Vision4Press platform.
Data correspond to usage on the plateform after 2015. The current usage metrics is available 48-96 hours after online publication and is updated daily on week days.
Initial download of the metrics may take a while.