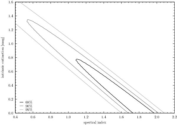
Fig. 4

Contour plot of the afterglow of GRB 071028B obtained by fitting models to its optical and near-infrared spectral energy distribution using HyperZ. The figure shows the 68%, 90%, and 99% confidence levels of the spectral index versus the intrinsic extinction
, which are based on a single power law in combination with the dust model of a starburst (SB).
Current usage metrics show cumulative count of Article Views (full-text article views including HTML views, PDF and ePub downloads, according to the available data) and Abstracts Views on Vision4Press platform.
Data correspond to usage on the plateform after 2015. The current usage metrics is available 48-96 hours after online publication and is updated daily on week days.
Initial download of the metrics may take a while.