Free Access
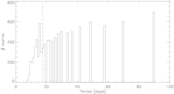
Fig. 11

Histogram of the periods calculated from the longitude-integrated total flux deficit when the order of transits is shuffled. The dashed line at P = 17.33 days represents the periodicity of the observed time series.
Current usage metrics show cumulative count of Article Views (full-text article views including HTML views, PDF and ePub downloads, according to the available data) and Abstracts Views on Vision4Press platform.
Data correspond to usage on the plateform after 2015. The current usage metrics is available 48-96 hours after online publication and is updated daily on week days.
Initial download of the metrics may take a while.