Free Access
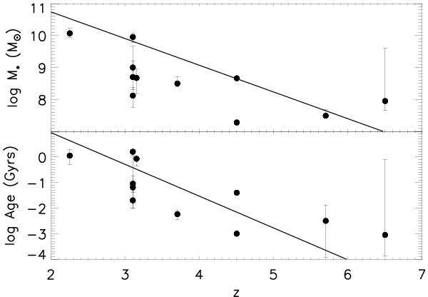
Fig. 10

Panels show the SED derived ages and masses as a function of redshift from the different surveys mentioned in the caption for Fig. 9. The solid lines are best fit linear relations.
Current usage metrics show cumulative count of Article Views (full-text article views including HTML views, PDF and ePub downloads, according to the available data) and Abstracts Views on Vision4Press platform.
Data correspond to usage on the plateform after 2015. The current usage metrics is available 48-96 hours after online publication and is updated daily on week days.
Initial download of the metrics may take a while.