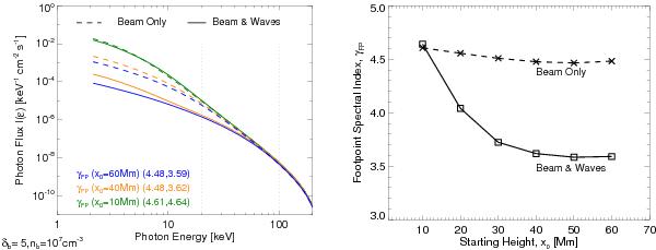
Fig. 10

(Left) HXR spectra of the footpoint region in the simulation with δ0 = 5, nb = 107 cm-3 for various starting heights x0 = 10,40,60 Mm (green, orange and blue respectively) for both purely collisional and beam and wave interactions. (Right) The fitted spectral index over 20 to 100 keV of the footpoint region as a function of electron beam starting height x0 for purely collisional transport (beam only) and additional wave-particle interactions.
Current usage metrics show cumulative count of Article Views (full-text article views including HTML views, PDF and ePub downloads, according to the available data) and Abstracts Views on Vision4Press platform.
Data correspond to usage on the plateform after 2015. The current usage metrics is available 48-96 hours after online publication and is updated daily on week days.
Initial download of the metrics may take a while.