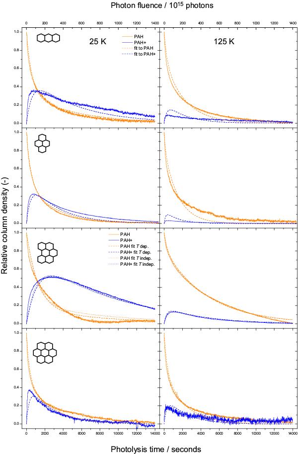
Fig. 3

Neutral PAH decay and the rise and fall of the corresponding cation signals for the four PAHs, anthracene a), pyrene b), benzo[ghi]perylene c), and coronene d) trapped in H2O ice for two different temperatures (left – 25 K and right – 125 K) as a function of VUV photolysis time. The molecular structure and fitted curves (derived from the model in Fig. 4) are indicated in the plots as well.
Current usage metrics show cumulative count of Article Views (full-text article views including HTML views, PDF and ePub downloads, according to the available data) and Abstracts Views on Vision4Press platform.
Data correspond to usage on the plateform after 2015. The current usage metrics is available 48-96 hours after online publication and is updated daily on week days.
Initial download of the metrics may take a while.