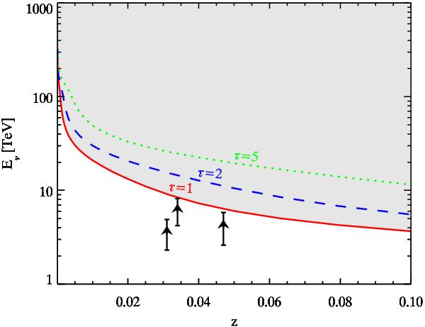
Fig. 15

Fazio-Stecker relation: energy at which the opacity reach a given τ as a function of redshift. This plot is done for τ = 1 (red solid line), 2 (blue dashed line) and 5 (green dotted line). The data points are the cutoff energy of Mkn 501 (Aharonian et al. 1999), Mkn 421 (Aharonian et al. 2002) and Lac 1ES 1959+650 (Aharonian et al. 2003).
Current usage metrics show cumulative count of Article Views (full-text article views including HTML views, PDF and ePub downloads, according to the available data) and Abstracts Views on Vision4Press platform.
Data correspond to usage on the plateform after 2015. The current usage metrics is available 48-96 hours after online publication and is updated daily on week days.
Initial download of the metrics may take a while.