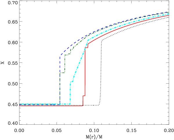
Fig. 5

Hydrogen profiles for similar central hydrogen contents of the 1.5 M⊙ models and different mixing prescriptions: Ledoux criterion and no mixing in the semiconvective zones (dashed blue line), αsc = 0.001 (thin dash-dotted green line), αsc = 0.01 (thick dash-dotted light blue line), Schwarzschild criterion (solid red line), and one model including convective overshooting (dotted black line).
Current usage metrics show cumulative count of Article Views (full-text article views including HTML views, PDF and ePub downloads, according to the available data) and Abstracts Views on Vision4Press platform.
Data correspond to usage on the plateform after 2015. The current usage metrics is available 48-96 hours after online publication and is updated daily on week days.
Initial download of the metrics may take a while.