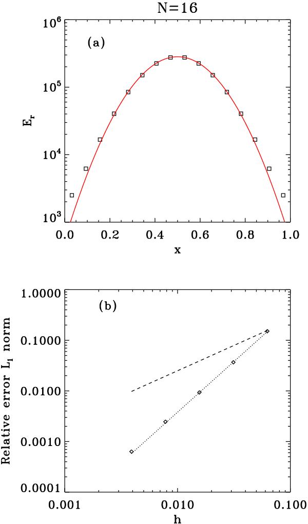
Fig. 2

a): Comparison between numerical solution (squares) and analytical solution (red line) at time t = 1 × 10-12 for the calculations with 16 cells. b): L1 norm of the error as a function of h = 1/Δx. The dotted line shows the evolution of the error as a function of h2 and the dashed line the evolution of the error as a function of h.
Current usage metrics show cumulative count of Article Views (full-text article views including HTML views, PDF and ePub downloads, according to the available data) and Abstracts Views on Vision4Press platform.
Data correspond to usage on the plateform after 2015. The current usage metrics is available 48-96 hours after online publication and is updated daily on week days.
Initial download of the metrics may take a while.