Fig. 3

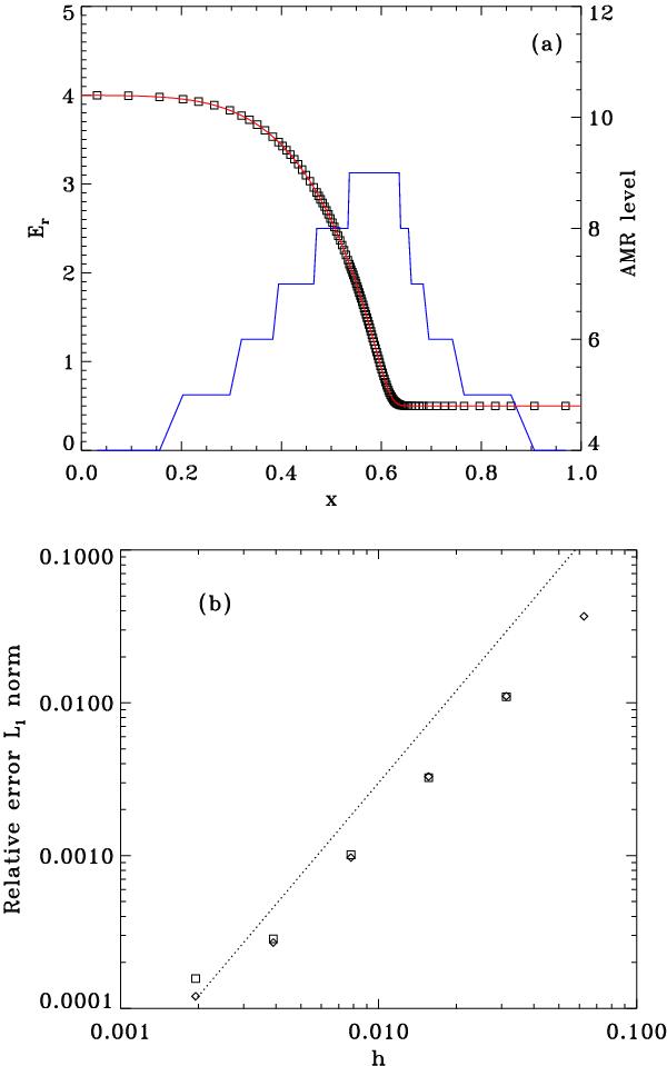
Nonlinear diffusion of an initial step function with AMR, the refinement criterion based on radiative energy gradients. a) Radiative energy profiles at time t = 1.4 × 10-2 (square – numerical solution, “exact” solution in red, run with 2048 cells). The AMR levels (right axis) are plotted in blue. b) L1 norm of the error as a function of h = 1/Δx, without AMR (diamond) and with AMR (squares), up to an effective resolution of 512 cells (the error is plotted as a function of the minimum mesh spacing, corresponding to the maximum resolution). The dotted line shows the evolution of the error as a function of h2.
Current usage metrics show cumulative count of Article Views (full-text article views including HTML views, PDF and ePub downloads, according to the available data) and Abstracts Views on Vision4Press platform.
Data correspond to usage on the plateform after 2015. The current usage metrics is available 48-96 hours after online publication and is updated daily on week days.
Initial download of the metrics may take a while.