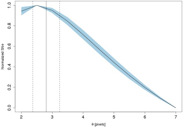
Fig. 5

SNe is displayed as a function of the window function size, θ, used to measure ellipticities. For display purposes, galaxies were selected to have the same value of θmax, and SNe was normalized so that min(SNe) = 0, max(SNe) = 1. The vertical lines indicate the average (solid) and standard deviation (dashed) of FLUX_RADIUS for the same galaxies.
Current usage metrics show cumulative count of Article Views (full-text article views including HTML views, PDF and ePub downloads, according to the available data) and Abstracts Views on Vision4Press platform.
Data correspond to usage on the plateform after 2015. The current usage metrics is available 48-96 hours after online publication and is updated daily on week days.
Initial download of the metrics may take a while.