Free Access
Fig. 16

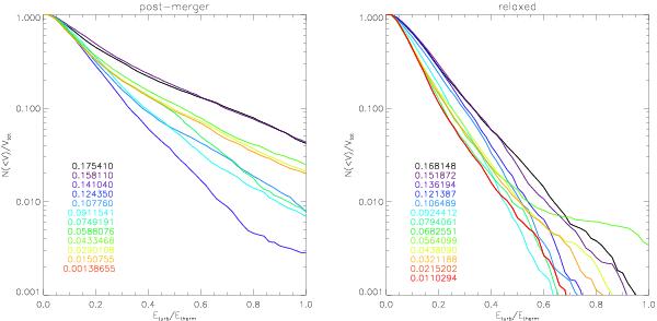
Cumulative volume distribution functions for the ratio of turbulent energy and of thermal energy inside ~1 Mpc3 for two clusters in the sample, by adopting the filtering with lMAX = 300 kpc.
This figure is made of several images, please see below:
Current usage metrics show cumulative count of Article Views (full-text article views including HTML views, PDF and ePub downloads, according to the available data) and Abstracts Views on Vision4Press platform.
Data correspond to usage on the plateform after 2015. The current usage metrics is available 48-96 hours after online publication and is updated daily on week days.
Initial download of the metrics may take a while.