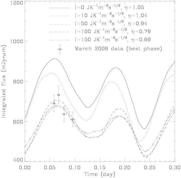
Fig. 6

Synthetic thermal light curves of asteroid Steins for different combinations of thermal inertia I and beaming factor η and the data obtained in March 2008 (diamonds). Each data point corresponds to the March 2008 integrated spectrum displayed in Fig. 1, normalized by the factors introduced in Sect. 2: 1.06 for SL2, 1.00 for SL1 (our reference), 1.15 for LL2, and 1.20 for LL1.
Current usage metrics show cumulative count of Article Views (full-text article views including HTML views, PDF and ePub downloads, according to the available data) and Abstracts Views on Vision4Press platform.
Data correspond to usage on the plateform after 2015. The current usage metrics is available 48-96 hours after online publication and is updated daily on week days.
Initial download of the metrics may take a while.