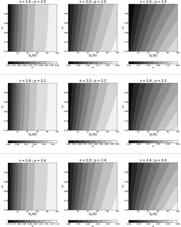
Fig. 3

Spectral index α, centred at 5 GHz, as a function of m and B0 (reference epoch t0 = 5 days) for a selection of values for s and p. For B0 ~ 0 we roughly obtain the canonical value α = (p − 1)/2. As we increase B0, the spectra become steeper (α increases). This effect is more pronounced for lower values of s (i.e., for flatter CSM radial density profiles).
Current usage metrics show cumulative count of Article Views (full-text article views including HTML views, PDF and ePub downloads, according to the available data) and Abstracts Views on Vision4Press platform.
Data correspond to usage on the plateform after 2015. The current usage metrics is available 48-96 hours after online publication and is updated daily on week days.
Initial download of the metrics may take a while.