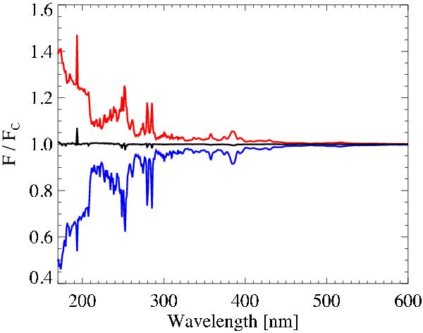
Fig. A.1

Representation of the quiet Sun by a combination of models. Ratios of synthetic solar spectra of models A (blue) and E (red) to model C. The black line results by combining 57% of the model E spectrum with 43% of the model A spectrum. The spectral signatures are almost perfectly cancelled, implying that the combination of both spectra is equal to the model C spectrum. The latter has been demonstrated to accurately reproduce the observed solar spectra during the last two minima (Shapiro et al. 2010). Hence, a combination of spectra for models A and E reproduces the observed quiet Sun spectrum.
Current usage metrics show cumulative count of Article Views (full-text article views including HTML views, PDF and ePub downloads, according to the available data) and Abstracts Views on Vision4Press platform.
Data correspond to usage on the plateform after 2015. The current usage metrics is available 48-96 hours after online publication and is updated daily on week days.
Initial download of the metrics may take a while.