Free Access
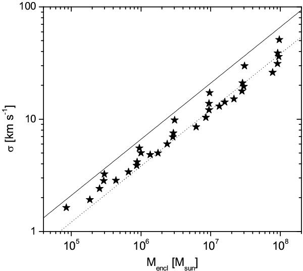
Fig. 12

Global line-of-sight velocity dispersion σ of the merger objects as a function of the enclosed mass Mencl for orbit 1 after 5 Gyr. The solid and the dotted line show the scaling relation (Eq. (8)) for objects with an effective radius of 10 pc and 30 pc, respectively.
Current usage metrics show cumulative count of Article Views (full-text article views including HTML views, PDF and ePub downloads, according to the available data) and Abstracts Views on Vision4Press platform.
Data correspond to usage on the plateform after 2015. The current usage metrics is available 48-96 hours after online publication and is updated daily on week days.
Initial download of the metrics may take a while.