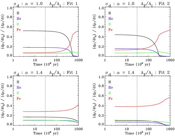
Fig. 10

Variation of ,
the part of the destruction caused by element of atomic number Z at
instant t, as a function of the time for the few major cosmic ray
elements. The dotted vertical lines correspond to a typical cloud time scale
t = 3 × 107 yr. (McKee 1989; Draine 1990; Jones et al. 1994).
Current usage metrics show cumulative count of Article Views (full-text article views including HTML views, PDF and ePub downloads, according to the available data) and Abstracts Views on Vision4Press platform.
Data correspond to usage on the plateform after 2015. The current usage metrics is available 48-96 hours after online publication and is updated daily on week days.
Initial download of the metrics may take a while.