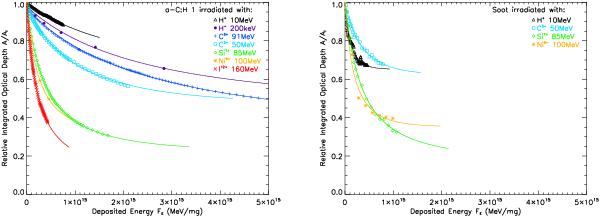
Fig. 3

Examples of evolution of the relative integrated optical depth of the aliphatic C-H stretching band with the energy deposited by the ions and the associated fits (recombination model). The deposited energy is calculated from the ion fluence: FE = FI·Se. The a-C:H and soot samples are represented on the left and on the right, respectively.
Current usage metrics show cumulative count of Article Views (full-text article views including HTML views, PDF and ePub downloads, according to the available data) and Abstracts Views on Vision4Press platform.
Data correspond to usage on the plateform after 2015. The current usage metrics is available 48-96 hours after online publication and is updated daily on week days.
Initial download of the metrics may take a while.