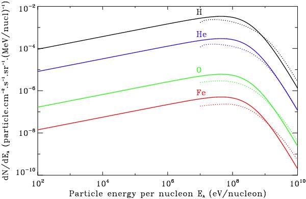
Fig. 8

Differential flux dN/dEA distribution with the cosmic ray energy per nucleon EA for some of the cosmic ray elements (hydrogen, helium, oxygen, and iron) (Webber & Yushak 1983; Shen et al. 2004). The dotted lines are the values given by GALPROP (http://galprop.stanford.edu/webrun/, Vladimirov et al. 2011).
Current usage metrics show cumulative count of Article Views (full-text article views including HTML views, PDF and ePub downloads, according to the available data) and Abstracts Views on Vision4Press platform.
Data correspond to usage on the plateform after 2015. The current usage metrics is available 48-96 hours after online publication and is updated daily on week days.
Initial download of the metrics may take a while.