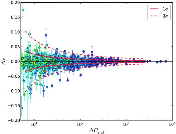
Fig. 18

Δz = zX − zo versus ΔCstat for clusters with more than 1000 photons. Error bars show 1σ statistical error from XSPEC fitting. The color code is the same as in Fig. 15. There is an obvious trend of Δz decreasing at larger ΔCstat. The red solid lines delineate 1σ envelope for Δzrms. The red dashed lines delineate the 3σ confidence levels.
Current usage metrics show cumulative count of Article Views (full-text article views including HTML views, PDF and ePub downloads, according to the available data) and Abstracts Views on Vision4Press platform.
Data correspond to usage on the plateform after 2015. The current usage metrics is available 48-96 hours after online publication and is updated daily on week days.
Initial download of the metrics may take a while.