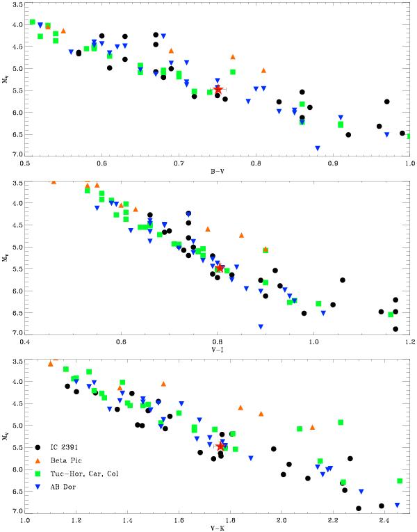
Fig. 5

MV vs. B − V, V − I and V − K color magnitude diagrams for HD 61005 (red star), IC 2391 open cluster (black filled circles; data summarized in Messina et al. 2010b), β Pic moving group (orange filled triangles, 10 Myr), Tucana, Carina and Columba associations (green filled squares, 30 Myr) and AB Dor moving group (blue filled, upside-down triangles, 70 Myr). For these associations, only the stars with trigonometric parallaxes among the members selected by Torres et al. (2008) were considered. The position of HD 61005 is compatible with a broad range of ages, older than about 20 Myr.
Current usage metrics show cumulative count of Article Views (full-text article views including HTML views, PDF and ePub downloads, according to the available data) and Abstracts Views on Vision4Press platform.
Data correspond to usage on the plateform after 2015. The current usage metrics is available 48-96 hours after online publication and is updated daily on week days.
Initial download of the metrics may take a while.