Free Access
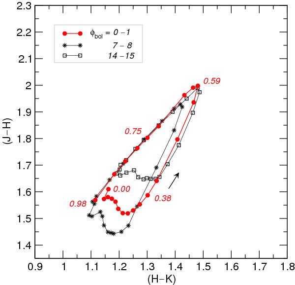
Fig. 13

Colour–colour diagram for model S where the values for the three different pulsation cycles considered are plotted. For orientation purposes the arrow illustrates how the model loops through the diagram during one cycle and selected phases are labelled.
Current usage metrics show cumulative count of Article Views (full-text article views including HTML views, PDF and ePub downloads, according to the available data) and Abstracts Views on Vision4Press platform.
Data correspond to usage on the plateform after 2015. The current usage metrics is available 48-96 hours after online publication and is updated daily on week days.
Initial download of the metrics may take a while.